近日,我校化學化工學院黃風林、劉歡科研團隊以劉歡為第一作者、西安石油大學為第一單位在能源環境領域國際權威學術期刊《Journal of Cleaner Production》(JCR、中科院分區雙一區TOP期刊,IF=11.1)上發表題為《Comparative life cycle energy, water consumption and carbon emissions analysis of deep in-situ gasification based coal-to-hydrogen with carbon capture and alternative routes》的高水平論文。

針對我國“富煤、缺油、少氣”的能源稟賦,創新煤炭開發利用技術以降低煤基產品的全生命周期碳排放是實現“雙碳”目標的現實選擇。耦合CCS/CCUS(碳捕集與封存/碳捕集、利用及封存)的深部煤炭原位氣化制氫技術路線不僅可以高效、經濟利用豐富的深部煤炭資源,保護環境,而且有望成為一種理想的煤基低成本制氫路線,受到理論界和工業界的廣泛關注。
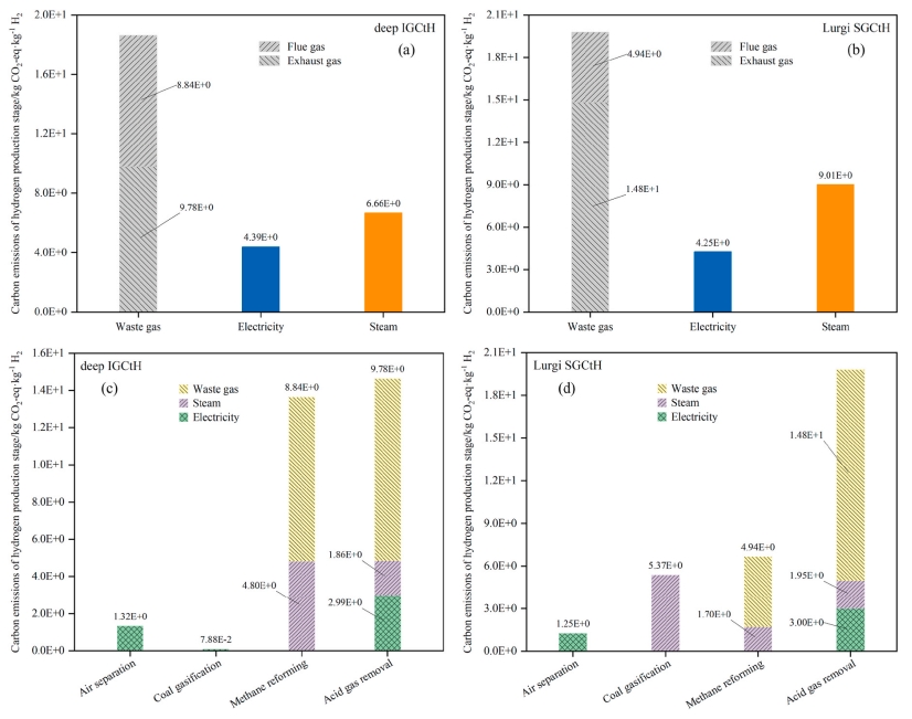
該成果基于我國“3060”雙碳目標與氫能發展戰略背景,利用世界上唯一的千米級深部煤炭原位氣化試驗數據,以LCA(生命周期評價)方法為基礎,結合過程模擬手段,定量衡量、對比深部煤炭原位氣化制氫與現有工業規模化石能源制氫路線從原料到氫氣產品產出、涵蓋所消耗過程能源生產與利用過程的生命周期中碳排放、水資源消耗與外部化石能源消耗等水平。同時,針對煤基氫氣生產二氧化碳排放嚴重的弊端,結合深部煤炭原位氣化制氫路線二氧化碳排放特征,設計不同的捕集方案并比較減排效果。結果表明,從生命周期角度看,深部煤炭原位氣化制氫相比傳統煤炭地面氣化制氫可以減少16.4%的碳排放并降低18.1%的水資源消耗。在碳約束發展背景下,該工作可為制定深部煤炭原位氣化制氫技術的示范、應用提供科學基礎和評價依據,同時在以可再生能源為代表的“綠氫”應用面臨挑戰的當下,助力我國制氫業由“灰氫”向“藍氫”過渡,加快“雙碳”目標的實現。


論文鏈接:
https://www.sciencedirect.com/science/article/abs/pii/S0959652623032870